小学奥数18道难题(从一道小学奥数题的解析)
经典奥数试题选讲(二):拆分长乘式和思维联想
本期,我们来看这道经典的奥数题目:

我还是一个小学生的时候,这样的题目给我留下了巨大的心理阴影,经常是枯坐半日,毫无头绪。尤其是当年的教学资源远不如现在这样完备,有时候想翻到最后看看解答过程,结果只看到一个略字。

当然,这样的题目,对没有接触过的学生来说,直接上手做一般是不行,需要其他题目作合理的铺垫。
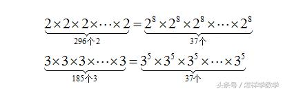
所以,我们先来看一道铺垫的题目。(为了让低年级的小孩也能看懂,这类题目也往往写成下面这样的形式)

这道题目,我们还是做不来。
那么,我们会做的有什么?我们有没有做过类似的题目?#联想做过的有相同未知量的题目
我们会比较两个数的大小,也会比较一些运算式的大小,像20×20和19×21,我们可以不计算结果直接比较。只是这样的算式,限于较短的计算,而不像题目中那么长。
那么,能不能把很长的算式转化成较短的算式呢?
有一个方法比较容易想到,我们可以把这两个乘式等分成若干个小的式子,然后比较每个小式子的大小,再由小式子的大小判断总的乘式的大小。
我们把题目中乘数的个数做因数分解:296=37×8;185=37×5
所以,第一个乘式可以拆成37个相同的小式子,每个小式子都是2的8次方;第二个乘式也可以拆分成37个,每个都是3的5次方。

2的8次方等于256,3的5次方等于243,前者要大。所以,前一个乘式中的每一个小式子都大于后者,那么它们的乘积也大于后者。这叫做单调性,也叫做你大爷还是你大爷。
由此,我们可以找到解这类题目的一种方法:即,先找到乘数个数的最大公约数,然后把乘式等分成若干段,段数等于最大公约数,比较单段的大小就可以推出总的乘式的大小。
我们试试用这个方法,来解第一道题目:
234=29×2×3
100=5×5×2×2
两数的最大公约数是2, 即使我们把这两个式子分解成相等的两段,剩下的各段还是大到无法计算。
题目解到这里,算是卡壳了。

现在我们知道,第一题和第二题,并不是完全一样的题目。但这两个问题有相当多类似的地方,既然我们不能直接套用解法来解题,就得考虑做些变通,把一个不会的问题转化成一个会的问题。#再次联想做过的有相同未知量的题目
第二题的解法,是把一个长的乘式拆分为许多足够小的乘式,而第一题的算式,我们既不能拆分到足够多,也不足够小。
那么,能不能把拆分的方法稍加变通呢?如果我们不能分解5的100次方,那能不能分拆5的99次、101、102次方呢?
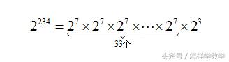
让我们依次来试,101是个质数,不能拆分,而99可以拆分成33×3,这样的话,5的100次方可以拆成33个5的3次方,再乘以一个5,足够多也足够小。(当然,你可以选择先拆2的234次方。优先拆5的100次方的原因是,我们更加熟悉100附近的数怎样因数分解)

再来看2的234次方,在234周围,有没有33的倍数呢?恰好,33的7倍等于231,那么2的234次方就可以拆成33个2的7次方,再乘以2的3次方。

2的7次方等于256,5的3次方等于255,前者大于后者,所以33个乘式中前者都大于后者。再看余下的的部分,2的3次方大于5,前者也大于后者。
综上,2的234次方大于5的100次方,你二大爷还是你二大爷。
我们经常建议三年级以上的学生,适当的做一些奥数题,那是因为,小学课本上的数学内容太简单了,如果孩子总是呆在舒适的安全区里,那么他们根本得不到应有的锻炼。但同时我们也建议,在学习奥数的过程中,要注意适当的难度(进阶式的)和教授方法(启发式和探索式的)。正如你在这道题里可以看到的,学会计算长乘式本身毫无意义,学会从一个已知的问题突破到未知问题,才真正重要。

,