涤纶是什么面料(涤纶,你真的很了解吗?)

涤纶 是合成纤维中的一个重要品种,是我国聚酯纤维的商品名称。是以精对苯二甲酸(PTA)或对苯二甲酸二甲酯 (DMT)和乙二醇(MEG)为原料经酯化或酯交换和缩聚反应而制得的成纤高聚物–聚对苯二甲酸乙二醇酯(PET),经纺丝和后处理制成的纤维。
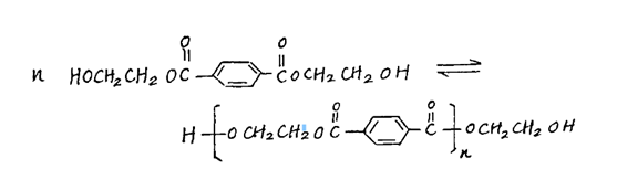
分子结构式,如图所示:

从涤纶分子组成来看,它是由短脂肪烃链、酯基、苯环、端醇羟基所构成。涤纶子中除存在两个端醇羟基外,并无其它极性基团,因而涤纶纤维亲水性极差。涤纶分子中约含有46%酯基,酯基在200℃以上时能发生水解、热裂解,遇强碱则皂解,使聚合度降低,100℃以下普通用量的洗涤剂洗衣粉对涤纶无任何影响。
涤纶的特点:强度高、弹性好、耐热性、绝热性、耐磨性、耐腐蚀性都是比较好的,然而染色性和吸湿性都是比较差的,但色牢度好,不易褪色。涤纶分子链上因无特定的染色基团,而且极性较小,所以染色较为困难,易染性较差,染料分子不易进入纤维;穿着有闷热感,同时易带静电、沾污灰尘,影响美观和舒适性。不过洗后极易干燥,且湿强几乎不下降,不变形,有良好的洗可穿性能。
涤纶纤维面料的种类较多,除织制纯涤纶织品外,还有许多和各种纺织纤维混纺或交织的产品,弥补了纯涤纶织物的不足,发挥出更好的服用性能。涤纶织物正向着仿毛、仿丝、仿麻、仿鹿皮等合成纤维天然化的方向发展。
涤棉混纺的优越性
涤棉混纺织物与纯棉织物的对比效果:强伸度(涤棉混纺>纯棉);耐磨性(涤棉混纺>纯棉);起毛起球性(涤棉混纺<纯棉),涤棉混纺织物容易起球,主要是因为棉织物纤维强度低、耐磨性差,织物表面形成的毛球或球粒很快被磨掉;而化学纤维及其混纺织物由于纤维间抱合力小、纤维强力高、伸长能力好,特别是耐弯曲疲劳、耐扭转疲劳与耐磨性好,故纤维容易滑出织物表面,一旦在表面形成小球后又不容易很快脱落;抗折皱性(涤棉混纺>纯棉);透湿性(涤棉混纺<纯棉);透气性(涤棉混纺>纯棉)。
涤棉”和“棉涤”,两个字的顺序一换就成了两种不同的面料。
“涤棉”(TC)面料是指涤纶的成分占50%以上,棉的成份在50%以下;
优点:光泽比纯棉布亮,手感爽滑、挺括,不容易起皱,而且涤的成分越高面料越不容易起皱。
缺点:亲肤性不如全棉,穿着没有全棉面料舒适。
“棉涤”(CVC)正好相反,是指棉的成分在50%以上,涤纶的成分在50%以下,也称为CVC品种。
优点:光泽比纯棉布稍亮些,布面平整,洁净无纱头或杂质。手感爽滑、挺括,比全棉布抗皱。
缺点:亲肤性不如全棉,穿着没有全棉面料舒适。
涤亚麻混纺的优越性
过去亚麻纺织品纺纱线密度高,仅能织制中、低档产品,只适合做外衣、装饰布等,体现不出亚麻纺织品特有的吸湿、放湿性好,凉爽等优点。现在采用涤纶纤维与亚麻纤维混纺,生产出适合夏季内、外衣的高档亚麻系列混纺产品。究竟涤亚麻混纺织物有哪些特点呢?
1.触感凉爽
亚麻纤维混纺比为35%-40%,纱线外观的亚麻纤维覆盖率高,因此当人体皮肤接触涤/麻低特纱织物后,人体表面的热量会被迅速散发出去,从而使人有凉爽的感觉。
2.织物轻薄、染色鲜艳
纱较细,一般在20tex以下(50公支以上),可单独或和其他纺织纤维的纯纺或混纺纱交织成超薄型织物。该产品档次高,染色、印花鲜艳美观、华丽,织物以凉、透、薄、爽著称。
3. 抗折皱性好
由于纤维特征,既可利用涤纶抗折皱性好的优点改善亚麻纤维织物易皱、染色不鲜艳的缺点,又可以利用亚麻纤维吸湿、放湿性好的优点改善涤纶织物吸湿差、穿着不舒适的缺点。
4.穿着舒适、洗涤性好
涤亚麻纱及织物混纺比例适中,织物手感柔软、易洗、易干、塑性定形好,洗涤后不变形与纯亚麻织物同样好的吸湿、放湿性、透气性,属不粘身的高档夏季用内外衣织物。
涤羊绒混纺的优越性
毛:涤=45:55这个比例既可保持羊毛的优点,又能发挥涤纶的长处。几乎所有的粗、精纺毛织物都有相应的毛涤混纺品种。其中精纺毛涤薄型花呢又称凉爽呢,俗称毛的确良(注释:的确良为涤纶的俗名),是最能反映毛涤混纺特点的织物之一。
毛涤薄型花呢与全毛花呢相比,质地轻薄,折皱回复性好,坚牢耐磨易洗快干,褶裥持久,尺寸稳定,不易虫蛀,但手感不及全毛柔软。如用有光涤纶作原料参与混纺,呢面有丝样光泽,若在混纺原料中使用羊绒或驼绒等物种动物毛,则手感较滑嫩。
洗涤说明:先用冷水浸泡15分钟,然后用一般合成洗涤剂洗涤,洗液温度不宜超过摄氏45度,领口、袖口较脏处可用毛刷(软性)刷洗,清洗干净后,可轻拧干,置阴凉通风处晾干,不可爆晒,不宜烘干,以免因熟生皱。
TR面料的优越性
涤粘混纺是一种互补性强的混纺。涤粘不仅有棉型、毛型,还有中长型。毛型织物俗称“快巴”。当涤纶不低于50%时,这种混纺织物能保持涤纶的坚牢、抗皱、尺寸稳定,可洗可穿性强的特点。粘胶纤维的混入,改善了织物的透气性,提高了抗熔孔性;降低了织物的起毛起球性和抗静电现象。
涤/粘混纺比多采用65/35或67/33,这类混纺织物的特点是织物平整光洁、色彩鲜艳、毛型感强,手感弹性好,吸湿性好;但免烫性较差。
TR面料的优点 :
① 强度高,短纤维强度为2.6~5.7Cn/dtex,高强力纤维为5.6~8.0Cn/dtex.由于吸湿性较低,它的湿态强度与干态强度基本相同,耐冲击强度比锦纶高4倍,比粘胶纤维高20倍。
② 弹性好,弹性接近羊毛,当伸长5%~6%时,几乎可以完全恢复,耐皱性超过其他纤维,即织物不折皱,尺寸稳定性好,弹性模数为22~141cN/dtex,比锦纶高2~3倍。
③ 吸水性好。
④ 耐磨性好,耐磨性仅次于耐磨性最好的锦纶,比其他天然纤维和合成纤维都好。
⑤ 耐光性好,耐光性仅次于腈纶。
⑥ 耐腐蚀,可耐漂白剂,氧化剂,泾类,酮类,石油产品及无机酸,耐稀碱不怕霉,但热碱可使其分解。
结语
混纺织物的优点就是通过两种或两种以上不同种类纤维的有机结合,取长补短,优势共存,满足人们对衣着的不同要求。混纺织物会结合两种或两种以上原料的优点,相互弥补,来达到织物更好的性能及舒适性,也会大大降低产品的成本。通过对涤纶及涤纶混纺织物的介绍,想必大家进一步了解了涤纶,认识了涤纶。